SSC GD Result 2025: The staff selection commission has released the SSC GD final result for candidates to invite them for the final round of the selection which is a detailed medical examination – DME and document verification. 1,26,723 candidates are provisionally selected in this SSC GD result for the DME.
Candidates can download the SSC GD Result 2025 PDF from the official website of staff selection commission. Check the following step by step guidelines in the article which will help you to download the official result of the SSC GD recruitment 2025 for document verification and will also share with you the next step to follow in the document verification and detailed medical examination.
ssc.gov.in SSC GD Result 2025
The SSC GD result 2025 was released by authority on 13th October 2025 on its official website. Result has been released for the post of GD in different organisations of Indian armed forces including border security force, Central industrial security force- CISF, Central reserve police force – CRPF, Sashastra Seema Bal- SSB, Indo Tibetan border police- ITBP, Assam rifles, narcotics control bureau- NCB and secretariat security force- SSF.
The SSC GD Constable Result 2025 has been released after conducting the written examination and the physical endurance test which was scheduled on 20 August 2025 and conducted by 15th September 2025. Total 3,94,121 candidates participated in the physical standard and endurance test but only 1,26,736 candidates are qualified in this physical test and now they all will be called for the detailed medical examination – DME and document verification -DV.
How to Check the SSC GD Result 2025?
Candidates can download the SSC GD result 2025 from the official website by following these step by step guidelines. The result will be available in a single PDF where all the candidates can see their performance combinedly.
- Visit to the official website of staff selection commission.

- Now you need to locate the notice board section in this page and will see the constable GD result PDF link.

- Now you will see the detail the PDF which will automatically download in your device, it will include the list of the candidates who are qualified in this examination for the next round of DME and DV.
What To Do If Not Find Your Name In The List?
Staff selection commission has prepared total three list of the candidates and all these list are uploaded on the official website of SSC under the result section where candidates can scroll all the three list one by one to check their name. If you are not seen your name in the first list then you need to check your name in the second list and the third list by following the same procedure which is mentioned in this section:
- Locate the official website of SSC and find out the SSC GD Constable Result 2025 section at the bottom of the website.

- Under the quick link section you will see the SSC GD Constable Result 2025 link and after that will see all the examinations conducted by the board in your screen. You need to find out the CTGD section where all three lists are uploaded by the authority.

- Now you will be able to see the PDF link of all three lists of qualifying candidates for the DME and DV.
SSC CGL Answer Key 2025: Download Response Sheet, Calculate Scores & Qualifying Marks
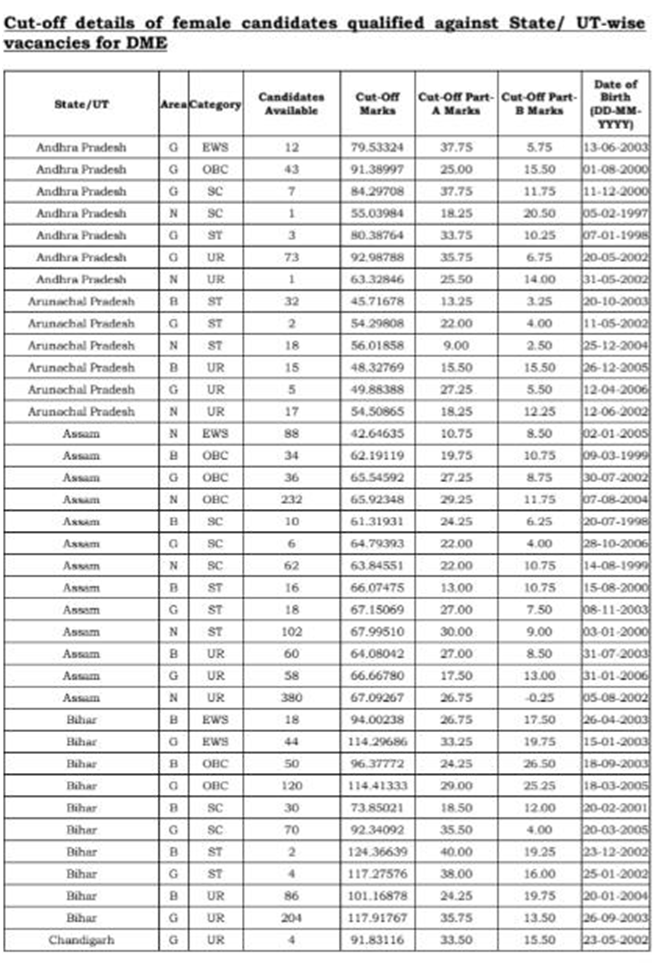
SSC GD Cut Off 2025
The board has also prepared a detailed SSC GD 2025 cut off mark list for different forces for the post of GD. The cut off marks has been released only for the CBT examination. It has been prepared State wise which have followed the category wise distribution of the marks in the cut out list. So if you want specific cut off marks information for the specific state then you need to download the complete PDF on the result where it will be mentioned in detail. However you can check the following range of the cut of marks in different categories in all states across the country.
| Category | Cut-Off Marks Range |
| UR (Unreserved) | 147 – 153 |
| OBC | 145 – 152 |
| EWS | 142 – 151 |
| SC (Scheduled Caste) | 137 – 148 |
| ST (Scheduled Tribe) | 133 – 143 |
Conclusion
Now candidates who have been selected in this SSC recruitment drive are required to check the website regularly to download the call letter for appearing in the detailed medical examination which will be scheduled by the authority soon. They also need to download required documentation and the format of the document verification by login on their candidate dashboard section.
After completing the document verification and medical examination, the final merit list of candidates will also be released which will allow candidate to join the allotted department directly without following any other round of the selection.
SSC Exams 2025: चेयरमैन एस. गोपालकृष्णन ने बताए नए परिवर्तन और सुधार
PM Kisan 21st Installment: दिवाली से पहले ₹2000 आपके खाते में, e-KYC जरूरी
FAQs — SSC GD Result 2025 Released
The SSC GD Constable Result 2025 was officially released in October 2025 on the SSC’s official website – ssc.gov.in
Candidates can check their result by visiting the SSC website, selecting the GD Constable section, and downloading the merit list PDF using their roll number or name.
The result PDF includes the candidate’s name, roll number, category, qualifying status, and marks obtained in the CBT exam.
Yes, SSC releases separate merit lists and cut-off marks for male and female candidates based on category and region.
The expected cut-off for the General category ranges between 142–150 marks, depending on the region and number of vacancies.
Shortlisted candidates must appear for the Physical Efficiency Test (PET) and Physical Standard Test (PST) as the next selection phase.
You can directly download the merit list PDF from the official SSC website under the “Results” tab → “Constable-GD” section.
